加入VIP 上传考博资料 您的流量 增加流量 考博报班 每日签到
   
主题 : 重庆交通大学2020年博士考生申请免考审核结果公示
级别: 总版主
显示用户信息 
楼主  发表于: 2020-05-16   

重庆交通大学2020年博士考生申请免考审核结果公示

 
根据《重庆交通大学博士研究生招生实施办法》,
现将
2020年博士考生申请免考审核结果公布如下,如有异议可以在7个工作日内申请复核和监督举报,复核申请方式可通过邮件申请(jyyzb@cqjtu.edu.cn),邮件主题注明:考生姓名-博士免试复核-科目(专业基础/英语)。 |i~Ab!*8n  
[Z -S0  
校研招办:023-62650942 Q |1-j  
校纪委监察室023-62652747 Bk44 wz2 X  
T*3>LY+bb  
qPH=2k ,H  
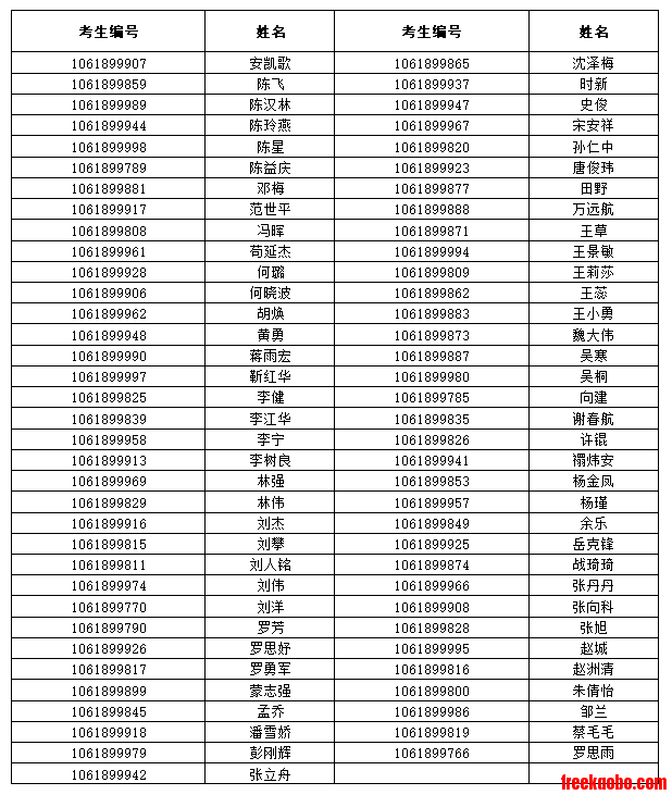
英语免试名单: u6#FG9W7  
专业基础免试名单: t^')ST  
{];8jdg/?  
图片:专业基础免试名单.png
图片:英语免试名单.png
评价一下你浏览此帖子的感受

精彩

感动

搞笑

开心

愤怒

无聊

灌水

  
描述
快速回复

验证问题:
4+6=? 正确答案:10
按"Ctrl+Enter"直接提交